|
State of Florida
|
Public Service Commission Capital Circle Office Center ● 2540 Shumard
Oak Boulevard -M-E-M-O-R-A-N-D-U-M- |
||
|
DATE: |
|||
|
TO: |
Office of Commission Clerk (Stauffer) |
||
|
FROM: |
Division of Economics (Ollila) Office of the General Counsel (DuVal) |
||
|
RE: |
|||
|
AGENDA: |
06/05/17 – Regular Agenda – Tariff Filing – Interested Persons May Participate |
||
|
COMMISSIONERS ASSIGNED: |
|||
|
PREHEARING OFFICER: |
|||
|
8-Month Effective Date: 11/28/17 (60-day suspension date waived by the utility) |
|||
|
SPECIAL INSTRUCTIONS: |
|||
On March 28, 2017, the Florida Division of Chesapeake Utilities Corporation (Chesapeake or Company) filed a petition requesting approval to modify Phase Two of the Company’s Transitional Transportation Service (TTS) program.[1] Specifically, the proposed modification would suspend the annual Open Enrollment process and the associated annual report contained in Phase Two.
In 2000, the Commission adopted Rule 25-7.0335, Florida Administrative Code (F.A.C.), which required each local gas distribution company to offer gas transportation service to non-residential customers. The Commission approved Chesapeake’s natural gas transportation service tariff as part of Chesapeake’s rate case in the same year.[2] By the end of 2001, according to the Company, over 40 percent of non-residential customers were utilizing transportation service. The remaining customers, who were still buying gas from Chesapeake, were primarily small commercial and residential customers. Customers buying gas from the utility are referred to as sales customers.
The Company petitioned the Commission in 2002 to approve the TTS program in order to move all remaining sales customers to transportation service, thus enabling Chesapeake to exit the merchant function. In Phase One of the TTS program, Chesapeake used a bid process to select a gas shipper (also known as a marketer) to serve as pool manager for the TTS program and moved all sales customers to the TTS program.[3] In Phase One, 9,587 residential customers and 552 small commercial customers were assigned to the selected shipper.
Phase Two, the subject of this proceeding, was approved by the Commission in 2007.[4] Phase Two expanded the choices available with customers having the ability to choose between two pool managers. Phase Two also includes an annual Open Enrollment period that provides customers with the ability to change their TTS shipper or select alternate pricing options. The Company has also been filing annual reports on Phase Two of the TTS program and the Open Enrollment. The most recent annual report is contained in Attachment A to the petition.
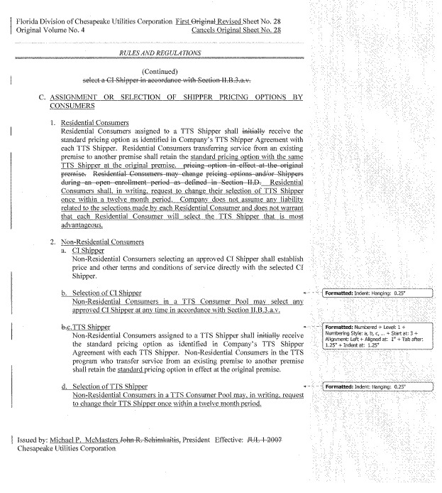
In a March 30, 2017 email (subsequently filed in the docket), Chesapeake waived the 60-day suspension deadline, pursuant to Section 366.06(3), Florida Statutes (F.S.). Chesapeake responded to staff’s first data request on April 28, 2017. The revised response, filed on the same day, includes corrected proposed tariff page 11. The Company’s 35 tariff pages proposed for Commission approval include non-substantive changes, e.g., replace placeholder with order number and renumbered pages in addition to pages pertinent to Open Enrollment. Chesapeake’s proposed tariff pages (legislative format) specific to the suspension of Open Enrollment (Tariff Sheets Nos. 28 – 29) are contained in Attachment 1 of this recommendation. The Commission has jurisdiction over this matter pursuant to Sections 366.03, 366.05, and 366.06, F.S.
Issue 1:
Should the Commission approve Chesapeake’s petition to suspend the Phase Two Open Enrollment process and associated annual report?
Recommendation:
Yes, the Commission should approve Chesapeake’s petition to suspend the Phase Two Open Enrollment process and associated annual report, effective June 5, 2017. (Ollila)
Staff Analysis:
The shippers provide the natural gas, while Chesapeake provides the distribution system to transport the gas to the customer. Chesapeake recovers the cost of providing the distribution system through tariffed base rates. The Commission does not regulate the prices shippers charge customers for gas. However, since the shippers do not have access to Chesapeake’s customer database, the Company bills the customers for the natural gas on behalf of the shippers. TTS customers are divided between two shippers with new customers assigned to the shippers on an alternating basis and paying the shippers’ standard price option under which the price of gas is updated each month to reflect the market price of natural gas.
As discussed in the case background, under the current Phase Two of the TTS program Chesapeake administers an annual Open Enrollment process, which includes mailing shipper advertisements and Open Enrollment forms. During the Open Enrollment period customers may change shippers and choose alternate pricing options offered by the shippers, such as a 12-month fixed price option and per therm discounts. The discounts are available to seniors over 50, military, and veterans. Customers who do not respond during Open Enrollment remain with their current shipper and remain on the standard price option. Customers must re-enroll every year in order to retain the fixed price option and/or receive discounts. The fixed price option and any discounts offered by the shippers are only available during Open Enrollment for customers to select. To illustrate, a customer who first became a Chesapeake customer in January 2016, was assigned by Chesapeake to one of the two shippers and billed under the standard rate plan for natural gas. Only during the Open Enrollment period in June 2016 did the customer have an opportunity to select an alternate pricing option offered by a shipper.
Under Chesapeake’s proposal to suspend Open Enrollment, Chesapeake will continue to bill customers on behalf of the shippers and customers will be allowed to change selection of their shipper without charge once within a 12-month period. However, Chesapeake will no longer mail shipper advertisements as it currently does during the annual Open Enrollment and shippers are not able to solicit TTS customers directly. Therefore, with the proposed suspension of the Open Enrollment, the alternate pricing options offered during Open Enrollment will no longer be available to TTS customers to choose from.
To support its petition, Chesapeake stated that although the number of TTS customers has increased since 2011, the Open Enrollment response rate has dropped as shown in Table 1-1 below. The current number of customers is 16,092.
Table 1-1
Open Enrollment Response Rate 2011 - 2016
|
Year |
Offers Mailed |
Response Rate |
|
2011 |
13,972 |
11% |
|
2012 |
14,125 |
14% |
|
2013 |
14,380 |
14% |
|
2014 |
14,682 |
11% |
|
2015 |
16,221 |
9% |
|
2016 |
15,637 |
10% |
Source: Petition, paragraph 14
The procedural and administrative tasks of Open Enrollment include the issuing of shipper advertisements, responding to customer telephone inquiries in the Company’s call centers, and processing customer responses. The Company asserts that in spite of increased call volumes, few customers ultimately change their shipper or pricing plan. For example, Chesapeake reported that three percent of customers have selected the fixed price option. The Company characterizes the percentage of customers who respond to the Open Enrollment solicitations as declining even as the number of TTS customers increase.
According to the Company, the low response rate suggests that a majority of customers do not view participation in Open Enrollment as having benefits that compensate for the effort to respond. Chesapeake asserts that it has had no indication that the participation rates will improve and believes they are likely to continue to decline. In its response to staff’s first data request No. 12(c), Chesapeake estimates the costs of the Open Enrollment process to be in excess of $16,000 per year, with the majority of costs attributable to outside contractors for mailing. Chesapeake notified the shippers of the proposed suspension of Open Enrollment in January 2017. According to Chesapeake, the shippers agreed with the Company that Open Enrollment provides little or no reward.
In view of what Chesapeake characterizes as waning customer response to the Open Enrollment process, the Company believes the benefits of Open Enrollment no longer outweigh the costs to administer the program. Chesapeake asserts that the suspension will promote administrative efficiency within the Phase Two program without detriment to TTS customers. In response to staff’s data request, the Company stated the proposed suspension is part of its continuing efforts to consolidate the natural gas business units for Chesapeake and Florida Public Utilities Company.
Current TTS customers will remain with their current shipper under the standard price option. For those customers currently receiving seniors over 50, military, or veterans discounts, Chesapeake stated that the shippers have committed to continuing the discounts for the foreseeable future. Those customers receiving discounts will not need to re-enroll to receive the discounts. Staff notes, however, that the shippers have the discretion to discontinue the discounts at their option at any time. Customers who chose the one year fixed rate option during the 2016 Open Enrollment will be moved to the standard rate plan effective with the first billing cycle in August 2017 (i.e., the expiration of the one year fixed rate option that began in August 2016). As it is current practice, new TTS customers will be assigned to the shippers on an alternating basis under the standard rate plan. Current and new customers will be allowed to change selection of their shipper without charge once within a 12-month period.
Chesapeake plans to inform customers about the proposed suspension of the annual Open Enrollment using a bill message that will refer TTS customers to the company’s website. TTS customers who chose during the 2016 Open Enrollment the 12-month fixed rate option will be notified via a bill insert that the 12-month fixed rate option will expire at the end of July 2017, and effective with the first billing cycle in August 2017 customers will be billed under the standard rate plan. Chesapeake will provide a copy of the bill insert to staff for review prior to mailing.
Conclusion
After reviewing Chesapeake’s petition and its responses to staff’s data request, staff believes that Chesapeake’s proposal to suspend the Open Enrollment program and the associated annual report is reasonable. Staff recommends that the Commission approve Chesapeake’s petition to suspend the Phase Two Open Enrollment process and the associated annual report, effective June 5, 2017.
Issue 2:
Should this docket be closed?
Recommendation:
If no protest is filed by a person whose substantial interests are affected within 21 days of the issuance of the Order, this docket should be closed upon the issuance of a Consummating Order. (DuVal)
Staff Analysis:
If no protest is filed by a person whose substantial interests are affected within 21 days of the issuance of the Order, this docket should be closed upon the issuance of a Consummating Order.



[1] Order No. PSC-07-0427-TRF-GU, issued May 15, 2007, in Docket No. 060675-GU, In re: Petition for authority to implement phase two of experimental transitional transportation service pilot program and for approval of new tariff to reflect transportation service environment, by Florida Division of Chesapeake Utilities Corporation.
[2] Order No. PSC-00-2263-FOF-GU, issued November 28, 2000, in Docket No. 000108-GU, In re: Request for rate increase by Florida Division of Chesapeake Utilities Corporation.
[3] Order No. PSC-02-1646-TRF-GU, issued November 25, 2002, in Docket No. 020277-GU, In re: Petition of Florida Division of Chesapeake Utilities Corporation for authority to convert all remaining sales customers to transportation service and to exit merchant function.
[4] Order No. PSC-07-0427-TRF-GU, issued May 15, 2007, in Docket No. 060675-GU, In re: Petition for authority to implement phase two of experimental transitional transportation service pilot program and for approval of new tariff to reflect transportation service environment, by Florida Division of Chesapeake Utilities Corporation.