|
State of Florida
|
Public Service Commission Capital Circle Office Center ● 2540 Shumard
Oak Boulevard -M-E-M-O-R-A-N-D-U-M- |
||
|
DATE: |
|||
|
TO: |
Office of Commission Clerk (Teitzman) |
||
|
FROM: |
Office of the General Counsel (Brownless) JSC Division of Economics
(Clark, Prewett) EJD |
||
|
RE: |
|||
|
AGENDA: |
11/04/25 – Regular Agenda – Proposed Agency Action - Interested Persons May Participate |
||
|
COMMISSIONERS ASSIGNED: |
|||
|
PREHEARING OFFICER: |
|||
|
SPECIAL INSTRUCTIONS: |
|||
On March 10, 2025, Talquin Electric Cooperative, Inc. (Talquin) filed a petition to resolve a territorial dispute with the City of Quincy (Quincy). The territory in dispute is a proposed development of 65 acres on Bostick Road, with future plans for up to 155 residential lots with a projected load of approximately 930-1,240 kilowatts (kW). A total of 4 phases are planned for the overall development, with Phases 1-3 being located in the disputed area within the 65 acres (a/k/a “the Bostick Road Property”). Phase 4, consisting of 75 residential lots, is planned to be constructed on an adjacent property.
The parties executed a territorial agreement in 1995 (1995 Territorial Agreement) which expired in 2010.[1] Since that time the parties have continued to abide by the boundaries of the 1995 Territorial Agreement. The dispute between Talquin and Quincy is to which utility would provide electric service to the new development located on the Bostick Road Property. Both parties agreed that Phase 4 lies wholly within Quincy’s territorial area as defined by the 1995 Territorial Agreement.[2],[3] Both Quincy and Talquin requested to provide service to the entire Bostick Road Property as portions of Phases 1-3 are located within each party’s respective service territory according to the 1995 Territorial Agreement. [4],[5]
This docket was originally set for an evidentiary hearing on October 28-29, 2025, by Order No. PSC-2025-0262-PCO-EU, issued July 8, 2025.[6] On July 22, 2025, Quincy and Talquin filed a joint motion to extend the time until August 29, 2025, to file their direct testimony which was granted by Order No. PSC-2025-0286-PCO-EU, issued July 23, 2025.[7]
On August 27, 2025, Quincy and Talquin filed a joint motion to suspend the procedural schedule, so that the parties could focus on formalizing the new territorial agreement. This joint motion was granted by Order No. PSC-2025-0326-PCO-EU, issued August 29, 2025.[8]
On September 5, 2025, Quincy and Talquin filed a petition to approve a new territorial agreement (2025 Territorial Agreement) dated August 26, 2025, which resolves all outstanding issues between the parties. This recommendation addresses the 2025 Territorial Agreement, which is intended to replace the 1995 Territorial Agreement and also reconcile the dispute over the Bostick Road Property by setting Quincy’s boundary line to include Phase 4 and Talquin’s boundary line to include Phases 1-3.
During the review process of both petitions, Quincy and Talquin responded to four Staff Data Requests. The proposed 2025 Territorial Agreement, if approved as filed, would establish new territorial boundaries, effect the transfer of extra-territorial customers being served by Talquin to Quincy, and assist the joint petitioners in identifying necessary and appropriate facility transfers. The Commission has jurisdiction over this matter pursuant to Section 366.04, Florida Statutes (F.S.).
Issue 1:
Should the Commission approve the proposed 2025 Territorial Agreement between Talquin and Quincy, dated September 5, 2025?
Recommendation:
Yes, the Commission should approve the proposed 2025 Territorial Agreement between Talquin and Quincy in Gadsden County, as consistent with the standards for approval set forth in Rule 25-6.0440(2), Florida Administrative Code (F.A.C.). The proposed 2025 Territorial Agreement, if approved, adjusts the territorial boundary line set forth in the utilities’ 1995 Territorial Agreement, allowing the joint petitioners to accommodate future loads in a more efficient and cost-effective manner. Also, the terms of the proposed 2025 Territorial Agreement would permit the joint petitioners to avoid unnecessary duplication of transmission and distribution facilities as well as better serve the future needs of their respective customers. (Clark)
Staff Analysis:
Pursuant to Section 366.04(2)(d), F.S., and Rule
25-6.0440(2), F.A.C., the Commission has jurisdiction to approve territorial
agreements between and among rural electric cooperatives, municipal electric
utilities, and other electric utilities. Unless the Commission determines that
the 2025 Territorial Agreement will cause a detriment to the public interest,
the 2025 Territorial Agreement should be approved.[9]
Rule 25-6.0440(2), F.A.C., addresses the standards the Commission should consider for approving territorial agreements for electric utilities. The rule states:
(2) Standards for Approval. In approving territorial
agreements, the Commission may consider:
(a) The reasonableness of the purchase price of any
facilities being transferred;
(b) The reasonable likelihood that the agreement, in and of
itself, will not cause a decrease in the reliability of electrical service to
the existing or future ratepayers of any utility party to the agreement;
(c) The reasonable likelihood that the agreement will
eliminate existing or potential uneconomic duplication of facilities; and
(d) Any other factor the
Commission finds relevant in reaching a determination that the territorial
agreement is in the public interest.
Proposed 2025 Territorial Agreement
Talquin and Quincy executed the proposed 2025 Territorial Agreement addressing common boundaries surrounding the City of Quincy on September 5, 2025, to replace and supersede all prior expired agreements. Through the proposed 2025 Territorial Agreement, the joint petitioners seek to:
(1) Reallocate service areas to better service accommodations for future loads in a more efficient and cost-effective manner;
(2) Clarify utility services for future developments in the City of Quincy; and
(3) Transfer facilities and all extra-territorial customers of Talquin to Quincy within six months of the Commission’s approval of the proposed 2025 Territorial Agreement.
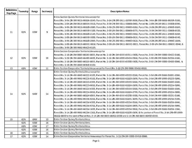
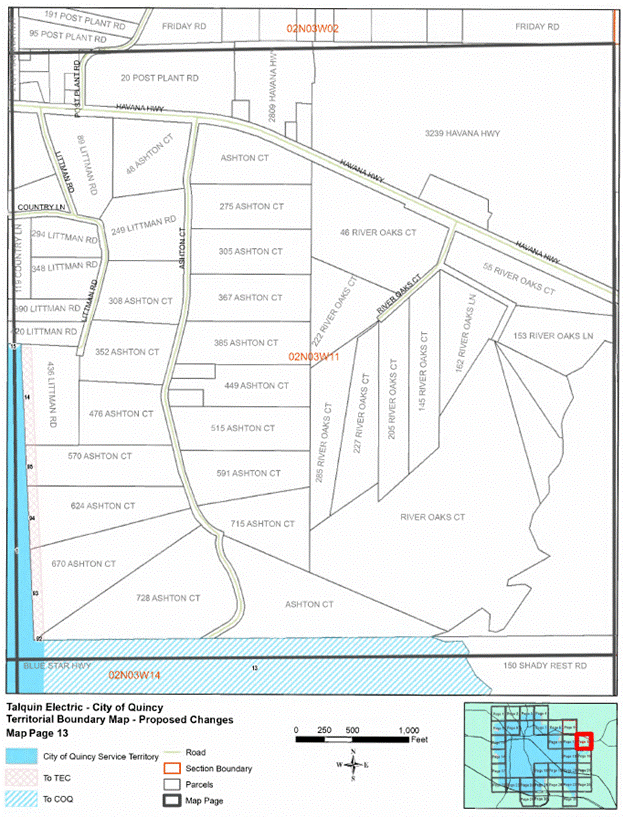
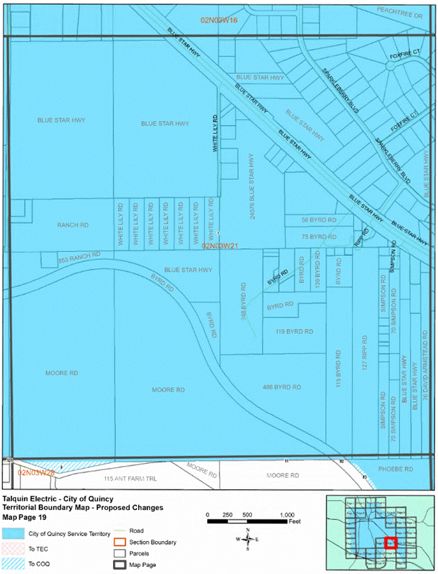
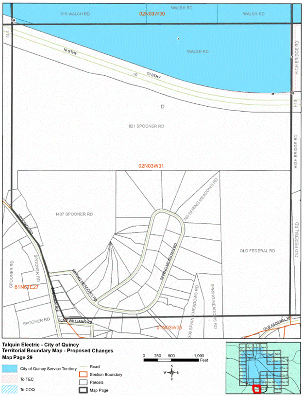
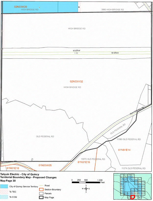
Included in the 2025 Territorial Agreement are maps displaying the territorial boundary lines separating Talquin and Quincy’s service areas along with an exhibit depicting the changes in the territorial boundary lines from the 1995 Territorial Agreement to the 2025 Territorial Agreement. Also included are written descriptions of the territorial areas, terms for temporary service, correction of inadvertent service errors, procedures for the transfer of customers and facilities, the method of compensation for transferred facilities, lists of extra-territorial customers’ addresses being transferred, and a sample copy of the letter provided to customers subject to transfer. With the items previously described, Quincy and Talquin’s 2025 Territorial Agreement complete the items required per Rule 25-6.0440(1), F.A.C.
The proposed 2025 Territorial Agreement, if approved, would remain in effect for 30 years from date upon which the Commission’s order approving the Agreement is no longer subject to judicial review.[10] Upon the expiration of the initial 30-year term, the Agreement automatically renews for successive one-year renewal terms. Either party may terminate this Agreement provided that such termination becomes effective after the initial 30-year term by providing notice of termination to the other party no fewer than 12 months prior to the effective date of the termination in accordance with Section 8.3.
Proposed Boundary Changes
The joint petitioners assert that the proposed boundary line changes
would avoid and eliminate the circumstances giving rise to duplication of
service facilities and possible hazards.[11]
The proposed boundary line changes address the previous 1995 Territorial
Agreement’s boundary line going through customers’ properties and splitting
land parcels as seen on Exhibit A-3.[12]
These changes extend and/or compress the utilities’ service areas by shifting
the boundary line to coincide with the boundaries of the land parcels.
The boundary line changes found on Exhibit A-3
Map Page 10 of the proposed 2025 Territorial Agreement delineate the utilities’
service territories and reconciles the main issue concerning the proposed
Bostic Road Property housing development found in Talquin’s petition filed on
March 10, 2025.12 Exhibit D of Talquin’s petition provides the
Master Plan for the development site. Pursuant to the 2025 Territorial
Agreement, Quincy’s service area would consist of Phase 4 while Talquin’s
service area would consist of Phases 1 – 3.[13]
Proposed
Customer Transfers, Notifications, and Bills
The joint petitioners assert that, upon the effective date,
there would be no active temporary service customers as they will have either
been converted to permanent customers or will be
treated as extra-territorial customers pursuant to Article III.[14] The joint petitioners have identified 41 extra-territorial accounts (8 commercial and 33 residential) that have a point of use located within Quincy’s territorial area but are receiving electric service from Talquin on the effective date of the proposed 2025 Territorial Agreement. Per the 2025 Territorial Agreement, such accounts would be transferred to Quincy within 6 months, and the parties will notify the Commission if circumstances require additional time.[15]
As required
by Rule 25-6.0440(1)(d), F.A.C., the joint petitioners provided notification
to the affected customers by letters dated September 2, 2025. Of the 41
extra-territorial accounts, Talquin states the United States Postal Services’
records reflect 32 letters have been delivered, 2 letters were in transit to
Washington state, and 7 were attempted deliveries and were returned as
undelivered.[16]
In its letter to the extra-territorial customers, Talquin asserts that Quincy
and Talquin will handle all of the transfer arrangements, and if these customers
have a deposit with Talquin, the deposit will be applied to their last bill and
any surplus will be refunded directly to the customer.[17]
Rule 25-6.0440(1)(d), F.A.C., also requires that affected customers
experiencing differences in rates have such rate changes explained. In regards
to the customer transfers from Talquin to Quincy noted above, Quincy and
Talquin provided a July 2025 sample bill for a residential and commercial class
customer using 1,000 kilowatt-hours (kWh) per month. The residential July 2025
sample bill at 1,000 kWh was $159.26 for Talquin and $133.41 for Quincy.[18]
Similarly, the sample commercial bill calculations provided show lower July
2025 bills for Quincy compared to Talquin.[19]
Pursuant
to Rule 25-6.0440(1)(e), F.A.C., Talquin received communications from three customers
by telephone. Of these three, one customer did not appear concerned about the
transfer after receiving an explanation. The other two customers expressed
discontent over their accounts being transferred over to Quincy, and of these
two, one has also submitted written correspondence to the Commission.[20] There are several concerns raised in the
written correspondence regarding Quincy’s service. First, that the public was only given notice
of the 2025 Territorial Agreement after the agreement was finalized, and not
given a chance to give input during the negotiation process. Second, that billing was often not sent out
on time resulting in very little time to pay before a late fee was
imposed. Third, that restoration of
power outages was slow. Fourth,
that the Quincy electric utility’s
financial stability is questionable since the City owed Duke Energy Florida,
LLC for wholesale electric and natural gas purchases a combined total of $2.2
million as of July of 2025.[21]
The
Commission has limited jurisdiction over rural electric cooperatives and
municipal electric utilities, i.e., Talquin and Quincy. The jurisdiction over these electric
utilities is limited to: imposition of uniform systems and classifications of
accounts; rate structure; conservation and reliability within a coordinated
grid; approval of territorial agreements; and resolution of territorial
disputes with other electric utilities.
Section 366.04(2), F.S. The
issues raised above are of the type that are appropriately raised with the City
of Quincy Utility Department.
While staff recognizes that these could be
areas of legitimate concern, the Commisssion has consistently adhered to
the principle set forth in Storey v. Mayo,
217 So. 2d 304, 307-308 (Fla. 1968), and reaffirmed in Lee County Electric Cooperative v. Marks, 501 So. 2d 585 (Fla.
1987), that no person has a right to compel service from a particular utility
simply because he believes it to be to his advantage. The Court went on to say
in Lee County that “larger policies
are at stake than one customer's self-interest, and those policies must be
enforced and safeguarded by the Florida Public Service. Commission.” Lee County Electric Cooperative, at 587.[22]
Staff Review
In its review, staff analyzed the proposed 2025 Territorial Agreement
for compliance with each component of Rule 25-6.0440(2), F.A.C. Regarding
paragraph (2)(a), staff notes that while no dollar amounts are given, the joint
petitioners have outlined a compensation formula for the transfer of electric
distribution facilities used exclusively for providing electric service to
transferred customers. The amount of compensation would be based upon the
replacement cost (new) at the time of the proposed transfer, less depreciation
calculated on a 30-year straight-line basis over the life of the asset
(facility) as determined from the transferring party’s books and records and
any costs incurred by the transferring party for the reintegration of its
remaining system to the extent such reintegration costs are reasonably required
by sound utility practices.[23] This compensation would
consist of a cash payment made within 60 days of the presentation of an invoice
from the transferring party.[24]
Consistent with Rule 25-6.0440(2)(b), F.A.C., the 2025 Territorial Agreement
is not expected to result in a decrease in the reliability of electrical
service for existing or future customers of either Talquin or Quincy. The joint
petitioners state the 2025 Territorial Agreement largely maintains the status
quo. Talquin and Quincy argue that they have the capacity for future growth as
Talquin has three substations (Gretna, Point Milligan, and Wetumpka) in the
surrounding area, which has a combined capacity to serve 112 megavolt-amperes
(MVA). Quincy maintains two substations (North and South) that have a combined
capacity to serve 81 MVA.[25] Staff believes Quincy and
Talquin have more than adequate capacity to meet the needs of current load and
future growth.
The joint petitioners state that the proposed 2025 Territorial
Agreement will eliminate existing and potential uneconomic duplication of
facilities as referenced in Rule 25-6.0440(2)(c), F.A.C. In order to eliminate
potentially uneconomic duplications of facilities, Talquin will transfer
certain facilities related to the extra-territorial customers to Quincy
necessary to serve customers within Quincy’s service area. Currently, the
parties are only aware of one Talquin Express Distribution Line running north
and west along Moore Road within Quincy’s service territory.[26] Talquin suspects that when
it was built in 1989, it was to minimize vegetation removal costs, but the
parties do not believe it will result in uneconomic duplication of facilities.[27] Staff agrees that both
parties have adequately addressed this issue as no Quincy facilities currently
exist along Moore Road.
The Commission has broad discretion under Rule 25-6.0440(2)(d), F.A.C,
to consider any other factors that it may believe are relevant to it in
reaching a public interest determination. Staff’s review did not identify any other
relevant factors. As it relates to the transfer of extra-territorial customers
from Talquin to Quincy noted above, staff notes that the provided July 2025
sample bills were lower for Quincy when compared to Talquin.
Conclusion
Staff has thoroughly reviewed the 2025 Territorial Agreement. Based on the above analysis, staff believes the Commission should approve the proposed 2025 Territorial Agreement between Talquin and Quincy, as consistent with the Standards for Approval set forth in Rule 25-6.0440(2), F.A.C. Staff believes the proposed Territorial Agreement, if approved, amends the respective boundary lines between these utilities allowing the joint petitioners to further accommodate their service to future loads in a more efficient and cost-effective manner in their respective retail service areas. Also, the terms of the proposed 2025 Territorial Agreement, if approved, would allow the joint petitioners to avoid unnecessary duplication of transmission and distribution facilities and better serve the future needs of their respective customers.
Issue 2:
Should this docket be closed?
Recommendation:
Yes. If no protest is filed by a person whose substantial interests are affected within 21 days of the issuance of the Order, this docket should be closed upon the issuance of a Consummating Order. (Brownless)
Staff Analysis:
If no protest is filed by a person whose substantial interests are affected within 21 days of the issuance of the Order, this docket should be closed upon the issuance of a Consummating Order.














































































































[1] Order No. PSC-95-1522-FOF-EU, issued December 11, 1995, in Docket No. 950532-EU, In re: Joint petition for approval of territorial agreement between Talquin Electric Cooperative, Inc. and City of Quincy.
[2] Document No. 01430-2025, Petition of Talquin Electric Cooperative, Inc. to Resolve Territorial Dispute.
[3] Document No. 02321-2025, City of Quincy’s Opposition to the Petition of Talquin Electric Cooperative, Inc. to Resolve Territorial Dispute.
[4] Document No. 03660-2025, Talquin Electric Cooperative’s Response to Staff’s Third Data Request, No. 5.
[5] Document No. 03668-2025, City of Quincy’s Responses to Staff’s Third Data Request, No. 5.
[6] Order
No. PSC-2025-0262-PCO-EU, issued July 8, 2025, in Docket No. 20250039-EU, In
re: Petition to resolve territorial dispute in Gadsden County with the City of
Quincy, by Talquin Electric Cooperative, Inc.
[7] Order No. PSC-2025-0286-PCO-EU, issued July 23, 2025, in Docket No. 20250039-EU, In re: Petition to resolve territorial dispute in Gadsden County with the City of Quincy, by Talquin Electric Cooperative, Inc.
[8] Order No. PSC-2025-0326-PCO-EU, issued August 29, 2025, in Docket No. 20250039-EU, In re: Petition to resolve territorial dispute in Gadsden County with the City of Quincy, by Talquin Electric Cooperative, Inc.
[9] Utilities
Commission of the City of New Smyrna Beach v. Florida Public Service Commission, 469 So. 2d 731(Fla. 1985).
[10] Document No. 09161-2025, Section 6.1 of 2025 Territorial Agreement.
[11] Document No. 09161-2025, Statement of Ultimate Facts Alleged and Providing the Basis for Relief 13. of 2025 Territorial Agreement.
[12] Document No. 09161-2025, Exhibit A-3 of 2025 Territorial Agreement.
[13] Document No. 01430-2025, Petition of Talquin Electric Cooperative, Inc. to Resolve Territorial Dispute.
[14] Document No. 09161-2025, Section 2.4 of 2025 Territorial Agreement.
[15] Document No. 09161-2025, Section 3.2 of 2025 Territorial Agreement.
[16] Document No. 14046-2025, joint petitioners’ response to Staff’s Fourth Data Request, No. 3.a.
[17] Document No. 09161-2025, Exhibit C of 2025 Territorial Agreement.
[18] Document No. 14046-2025, joint petitioners’ response to Staff’s Fourth Data Request, No. 1.F
[19] Document No. 14046-2025, joint petitioners’ response to Staff’s Fourth Data Request, No. 2.
[20] Document No. 14046-2025, joint petitioners’ response to Staff’s Fourth Data Request, No. 3.b.
[21] Document No. 13794-2025.
[22] Order No. PSC-96-0755-FOF-EU, issued June 10, 1996, in Docket No. 19950307-EU, In re: Petition to resolve a territorial dispute with Florida Power & Light Company in St. Johns County, by Jacksonville Electric Authority.
[23] Document No. 09161-2025, Section 4.3 of 2025 Territorial Agreement.
[24] Document No. 09161-2025, Section 4.4 of 2025 Territorial Agreement.
[25] Document No. 14046-2025, joint petitioners’ response to Staff’s Fourth Data Request, No. 4.
[26] Document No. 14046-2025, joint petitioners’ response to Staff’s Fourth Data Request, No. 5.a.
[27] Document No. 14046-2025, joint petitioners’ response to Staff’s Fourth Data Request, No. 5.c.